Comsol&Matlab 多孔材料JCA模型吸声系数理论解及仿真解
更新于2024年7月15日 21:42JCA(Johnson-Champoux-Allard)模型是一种用于描述多孔材料声传输性质的模型,它结合了Johnson-Allard模型和Champoux-Allard模型的优点。JCA模型考虑了多孔材料中的声波传播和吸声机制,并可以用于预测多孔材料的声吸收性能。
在JCA模型中,声波在多孔材料中的传播是通过两种机制实现的:孔隙内的声波传播和孔隙间的声波传播。模型假设多孔材料是由许多孔隙和孔隙壁组成的,孔隙壁由固体材料构成。JCA模型中的关键参数包括孔隙率(porosity)、孔隙壁阻尼(tortuosity)、孔隙壁的特征尺寸(characteristic length)以及多孔材料的声阻抗(acoustic impedance)。这些参数可以通过实验测量或计算方法得到。
Johnson-Chamoux-Allard模型目前是最能准确刻画较宽频率范围内刚性骨架多孔金属材料吸声特性的一个广义声学模型。模型中包含五个材料基本宏观声学参数,同时,这五个基本参数均有比较清晰的物理意义。五个声学参数值分别为:
材料的流阻率(Flow resistivity);
孔隙率(Porosity);
曲折度(Tortuosityfactor);
粘性特征长度(Viscous);
热特征长度(Thermal characteristics lengths);
孔隙率
多孔材料的孔隙率定义为材料孔隙内的流体体积()与整个多孔材料的体积(
)之比:
注:多孔材料中孔内的流体体积不能计算在内,只有开孔或者连通的孔内的流体才能被计算在
内。
材料的流阻率
流阻率直接反映材料的一些结构特性,流阻用于建立材料结构和材料的一些声学特性(如:衰减特性、吸声特性等)之间的关系,多孔材料的流阻率可以表示为
ΔP为试件两侧的压差,V为垂直流体经过试件的平均流速,平均流速V表示为V=Q/S,其中Q为流量,S为材料的横截面积。
曲折度
曲折度与孔的截面形状无关,仅依赖于多孔材料骨架的几何构造,曲折度表示为:
其中L为孔的长度,ϕ为孔长度与厚度方向的夹角
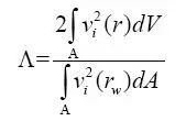
粘性特征长度
模型中的粘性特征长度
、
分别为孔内无粘流体在孔表面和孔内的流速,孔内表面积为A,分母对整个孔内体积V积分。
热特征长度
热特征长度的概念是用来计算高频范围内多孔材料中空气的体积弹性系数,用以代表几何因素对有效体积弹性系数K的影响。
注:一般情况下上述参数通过试验难以测得,大多数时候是通过表面声阻抗、声压反射系数、吸声系数等测试进行反求获得。
一、搭建模型
二、网格划分
四、求解器range(50,50,4000)
吸声系数曲线理论与仿真对比
- 有需要源文件和讲解视频的可以与我们联系,优惠不断;
工程师必备
- 项目客服
- 培训客服
- 平台客服
TOP




















