焊接中的高斯热源
2024年1月14日 10:121.高斯热源公式的建立
高斯热源本质就是热源的分布呈正态分布,如果理解二维正态分布的话就很容易理解三维的正态分布,如下图,热源其实就是一个中心高,然后沿着等半径往外逐渐降低,通过中心的任意切面就是一个二维的正态分布曲线围成的面。
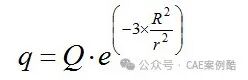
将高斯热源的温度分布用公式表达为下式:
其中q为热流密度,Q为高斯分布下的最大热流密度,R是距热源中心的距离,r是热源的半径,下面以一个长宽均为0.1m,厚度为0.004m板的焊接为例来说明高斯热源的加载方法。
从上图可见,热源要加载的面是板的上表面,焊接方向是沿着y方向,板厚方向为z向,热源加载的初始点的坐标为(0.05,0,0.004),那么根据高斯热源的热流密度表达公式可知,在初始加载位置的热流密度分布可以用下式表达:
刚才说明过R为距热源中心的距离,那么上式中R^2=(x-0.05)^2+(y-0)^2,为中学学过的两点之间的距离公式,为何里面不涉及到z坐标呢?是因为热源加载的面是板的上表面,其实已经暗含z的坐标就是固定的了,所施加的是一个xoy面内热源分布,所以与z坐标无关。
那么接下来就是如何实现热源移动的问题了,热源移动肯定是与速度有关,速度为0自然就是静态的热源分布,速度大于0才是一个移动的热源,那么与速度有关就是等效地说与时间有关,在ANSYS中时间{TIME}正好是一个变量,所以如何在公式中体现呢?
假设20秒完成热源从y=0mm到y=0.1mm整个焊接路径,那么焊接速度就是v=0.1/20=0.005m/s,那么时间为 {TIME}时热源中心的坐标就是(0.05,0.005* {TIME},0.004),那么对应的R^2就可以用公式表达出来,就是:
2.高斯热源公式编译
上述过程已经建立起了高斯热源的加载公式,那么如果想要在workbench中加载该热源需要通过APDL进行编译成命令流后再回到workbench中以命令流的方式进行热源加载。
首先需要在APDL中进入函数编辑器,Parameters>Functions>Define/Edit
下面我们按照Q=3e7w/m^2;r=0.004m,将热源公式q输入到函数编辑框中,其中坐标系为笛卡尔坐标系(在APDL中标号为0),编辑好后在File>save中保存并退出,其中保存的名字可以自己定义,该名字只是函数的文件名,与后续加载无关。
退出函数编辑界面后按照 Parameters>Functions>Read From File读取刚才保存的函数,命名一个表参数名,这个表其实就是将刚才的高斯热源的公式转化成数表,该表的名称是后面在workbench中加载热源时的载荷名。
点击OK完成编译,然后通过List>Files>Log file列出刚才编译的内容,将该内容复制到一个txt文本文件,该内容就是热源表化后的命令,具体可以进一步去了解APDL中表的定义相关内容。
3 .workbench中高斯热源加载
首先在workbench中建立一个瞬态热分析模块,建好CAD模型并画好网格,材料参数设置如下图,记得单位系统和坐标要与前面在APDL中的设定要一致,否则是错误的。
如下图,将要施加热源的面命名为A1(自己可以任意定义)。
除了热源施加的面外,其他几个面都按照下图设置换热条件。
在分析设置中插入一个APDL命令,将在上一步中txt文件中的命令按照下图位置粘贴,并手动添加一行施加热源载荷的命令:SF,A1,HFLUX,%gaosi%,SF命令的相关用法可以查阅ANSYS命令手册,其中gaosi就是前面定义的热源载荷的表格名。
然后设置好时间步就可以计算了。
计算完成后可以看整个板温度场的时间历程结果,效果如文首展示的效果。
工程师必备
- 项目客服
- 培训客服
- 平台客服
TOP




















