【技术贴】基于AVL EXCITE M软件的PWM逆变器对电机噪声影响分析
2024年3月5日 14:59作者:向熔
邮箱:mechanical_support_china@avl.com
原文发布于公众号:AVL先进模拟技术
01
前言
随着能源危机以及排放法规的不断严苛,新能源电动汽车是一种使用电能作为驱动能源的现代交通工具,已然为全球汽车工业当前和未来发展的重点。电机作为纯电动汽车的动力源,是驱动整车行驶的核心部件。而永磁同步电机因具有高功率密度、高效率、良好的转矩特性,以及结构简单、体积小、噪声振动低等优点,是目前纯电动汽车的主流选择。电机作为纯电动汽车的动力源,和传统汽车一样,是产生整车噪声的一个主要来源。而不一样的是和传统汽油车相比,纯电动汽车的动力源永磁同步电机产生的高频噪声,尖锐刺耳让人难以忍受,影响驾驶员和乘客的身心健康。噪声作为电机的主要质量指标之一,其噪声的大小决定了整车的舒适性。
AVL eSUITE 软件平台是AVL专门针对车用电器化仿真与设计开发的平台,力求给用户提供完整的电气化仿真方案。软件集成新能源整车动力性与经济性仿真,实现电机性能匹配集成,电机一维到三维热管理分析,电机转子动力学分析,电机NVH仿真计算以及整个电驱系统的NVH仿真分析。
图1 AVL eSUITE电气化仿真设计方案
关于电机本体以及电驱系统NVH分析,AVL eSUITE可实现基于台架模式分析计算,无缝地实现产品试验前的NVH校核,很大程度上减少客户的样件的试制成本与测试时间。对于AVL eSUITE NVH方面的详细仿真计算,可参考往期技术贴,本期重点给大家介绍如果基于AVL eSUITE工具,实现PWM控制对电机噪声影响分析。
02
PWM控制原理
对于永磁同步电机噪音,通用的来讲可以分为低频、中频以及高频阶段,对于低频噪声往往与电机机械因素有关,中频噪声和电机本体结构电磁特征有关,而高频噪音大都和变频器控制器相关,最突出的是PWM开关频率的电磁噪声。
PWM引起的电机啸叫声在噪音或者瀑布图上,有明显的特征,如下图所示显示的伞状图,噪音的阶次线是以PWM载波频率为中心,左右镜像辐射而出,类似于一把半开的雨伞。因此很容易被识别出。在主观感受上,因为频率较高,声音听起来是 “叽叽”的啸叫声,声音尖锐刺耳。听起来不随转速变化而变化。
图2 电机常见噪声形式
根据三相电机控制理论可知,三相交流电机定子绕组是对称设置的,即A,B,C三相绕组轴线在空间上互差120°电角度。在三相交流电压作用下,绕组中流过三相对称电流。具体电流的表达式如下:
三相磁动势可以在空间中合成一个幅值不变的旋转波:
三相合成的磁动势可以在空间中产生与它同相的旋转磁场,这个旋转磁场切割电机转子,在转子绕组中引起感应电流,该电流与旋转磁场相互作用产生电磁转矩,从而驱动交流电机旋转。
要实现交流电机的驱动,需要使得逆变器输出端合成电压矢量为一个幅值不变的旋转矢量。通过对交流电机中的三相电压源逆变器功率器件的一种特殊的开关触发顺序和脉冲大小组合,这种开关触发顺序和组合将在定子线圈中产生三相互差120°电角度、失真较小的正弦波形。
常见的逆变器的PWM控制主要包含CPWM与DPWM控制方式,而CPWM即为SVPWM一种,对应为七段式控制方式,七段式SVPWM在三角波计算器周期内,即一个开关周期内,左右两边是对称的零矢量。如果不进入过调制区域,那么三角波计数器中点也是零矢量。整个开关周期分成了七段,所以叫七段式SVPWM。而对于DPWM原则上说也是属于SVPWM控制方式一种,只是这是一种五段式控制方式,五段式PWM比较值是不连续的,所以五段式PWM又称作Discontinuous-PWM模式,简写DPWM。本文主要介绍七段式SVPWM控制。
对于典型的两电平三相电压源逆变器原理图如图3,在三相半桥电路中,由六个等效开关控制输出端电压的状态。为了防止短路,同一桥臂的上下两只开关不能同时导通。因此,只要确定了上桥臂三只开关管的开关状态,就可以确定整个逆变器的工作状态。如图3中,用S=0或S=1来表示各个开关的关闭与开启状态。上述的逆变器三路逆变桥的开关组合总共有8中状态。
图3 两电平三相电压源逆变器原理图
图4 电压空间矢量图
根据8种组合的电压空间矢量,包括6个非0矢量和两个0矢量,汇总组合的基本空间电压矢量映射至下图中的复平面中,即可得到改图中的电压空间矢量图。它们将复平面分成6个区,称之为扇区。
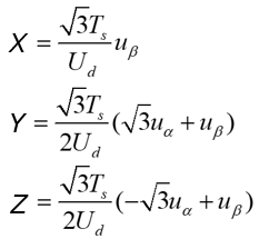
对于每个扇区矢量作用时间计算,分别用XYZ表示,其中Ts为逆变器开关时间,即为开关频率的倒数。各个扇区矢量作用时间如下表:
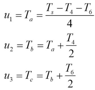
对于各扇区调制波计算,令u1、u2、u3如下公式所示,各扇区调制波计算可查以下表格。
通过以上各个扇区调制波与三角载波比较即可得到逆变器开关信号,以第一扇区为例,下图为一扇区的开关信号示意图。
03
AVL eSUITE平台电机仿真
AVL eSUITE 平台中AVL EXCITE M软件电机建模包含不同的建模深度,主要包含EMC0、EMC1、EMC2以及EMCM电机连接副,可从低频到高频全频段覆盖电机动力学仿真。具体各个连接副作用可持续关注后续技术贴,本期不进行详细阐述。
表1 EXCITE M电机连接副类型
对应的EMC0、EMC1以及EMC2电机单元包含PI控制器、逆变器、以及电池电源,可实现电机扭矩转速控制,同时可实现电机控制过程对于电机转子动力学以及NVH的影响。
图5 AVL EXCITE M电机控制单元
当前,EMC1与EMC2连接副中集成详细的逆变器单元,可实现电机在不同控制策略如SVPWM与DPWM控制下的电机响应分析。同时连接副中支持两种常见的过调制方式如最小相位误差调制与最小幅值误差调制策略,用户可对两种过调制策略所带来的控制响应做相应的敏感性分析。此外,关于开关频率,支持恒定开关频率、随转速变化开关频率以及随机频率带三种方式,用户即可实现开关频率对于结构体NVH噪声的研究。
图6 EMC2电机连接副PWM设置
图7 SVPWM开关定义与过调制策略
本实例中模型采用单电机模型,如图8所示,电机定转子以及壳体均为全柔性体。具体定转子以及壳体有限元缩减模型建立不在赘述。电机额定电压800V,额定电流150A。
基于eSUITE 平台EMT模块,通过电磁场计算,可得到当前电机详细的控制相关参数,如电机主磁链、相阻、直轴与交轴电感等。同时,基于EMT计算当前电机在不同直轴电、交轴电、电机转角、径向偏心、转子轴向倾斜角度下的相间磁链、定转子受力、转子力矩等多维MAP。
图8 电机有限元模型与动力学模型
图9 电机主要属性参数与物理MAP
在动力学分析模块EXCITE M中,通过电机控制单元控制当前电机达到目标扭矩与转速所需的电流与电压,通过EMT计算电机所得的多维MAP数据耦合差值当前电机所受力情况,继而计算电机转子动力学特性。电机转子转速又影响电机控制单元的电流与电压输出,继而形成完整的电与机械场的实时耦合迭代计算。
图10 电机PI控制过程
AVL EXCITE M由于基于真实的三维柔性体模型进行时域计算,可实现分析对象的瞬态与稳态工况仿真。本案例中主要分析电机恒扭负载的runup瞬态工况,对应电机目标转速如图,电机逆变器采用SVPWM控制方式,过调制采用最小幅值误差策略,开关频率采用恒定开关频率18000HZ。PWM分辨率为12bit.
图11 电机控制目标转速曲线
通过动力学计算结果可知,电机转子实际转速与目标转速稳和,同时电机输出扭矩与目标控制扭矩趋势与平均值一致。当前电机控制处在合理的状态。
图12 电机目标转速与实际转速
图13 电机输出扭矩与目标扭矩
图14与图15为电机在某段时间内PWM开关信号与对应输出方波电压。
图14 电机逆变器开关信号
图15 逆变器输出电压
下图为PWM输出三相电流,通过调制后电流相位相差120°,同时电流输出也带有细微的高频毛刺。
图16 电机实际输出三相电流
由图18很直观可看出,电机呈现明显48阶主谐次响应,同时在开关频率主线附近呈现很明显的伞状谐次噪声。
图17 电机壳体表面关注点振动结果
图18 电机壳体表面节点振动Campbel图
图19为不加SVPWM控制与加SVPWM控制的对比,右图很直观的看出在高频区域带有PWM控制的振动速度幅值明显比没带的大。
图19 壳体表面振动速度对比
图20 不包含PWM控制关注点振动Campbel图
通过对于两者表面振动分布云图也可直观看出,电机在考虑SVPWM控制下,其对应的幅值在局部区域也明显较大。
a.不包涵PWM控制 b.包涵PWM控制
图19 壳体表面振动云图
04
小结
基于AVL EXCITE M可进行详细的电机动力学仿真,在考虑电机扭矩转速控制的基础上同时兼顾PWM影响。支持用户进行相应的PWM控制策略的影响研究。本文中简要介绍了如何在AVL EXCITE M中进行SVPWM控制下的噪声分析,后续在用户大会中将有详细不同SVPWM、DPWM控制方式对于电机噪声分析的影响研究报告。
工程师必备
- 项目客服
- 培训客服
- 平台客服
TOP




















