【04】入门弹性滑板支座(ESB)产品、原理与设计(第2篇)--不同软件的模拟方式
2024年4月1日 11:40浏览:2648
弹性滑板隔震支座在不同软件中的模拟
弹性滑板支座关键设计参数:竖向刚度、水平初始刚度、动摩擦系数
ETABS
注意事项:
- U1方向默认为非线性属性,为一个GAP单元,只受压不受拉。
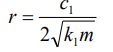
- 阻尼系数r由下式计算所得,其中C1为结构阻尼比,k1为隔震支座竖向刚度,m为重力荷载下隔震支座的轴力W/g,阻尼系数可以模拟在竖向提供一定阻尼力,耗散部分高频成分。若简化计算,可填一个较小值。
- 慢摩擦系数为静摩擦系数(零速度时的摩擦系数),快摩擦系数为动摩擦系数(高速时的摩擦系数),动摩擦系数与速率参数相关。为简化分析,静摩擦系数和动摩擦系数取值相同,此时速率参数将失效。
- 当为弹性滑板支座时,净摆半径取值为0。
SAUSAGE
PKPM
YJK
备注:线性属性用于线性工况,如模态分析、反应谱分析、线性静力分析等,线性属性对周期有影响,进而影响阻尼力。YJK和PKPM针对隔震支座的有效刚度有三种方法:1. 选择手动输入(采用输入的等效线性属性)、2. 反应谱迭代确定、3. 自动采用弹性时程计算结果。
弹性滑板隔震支座在分析时的注意事项
- 分析时,须先对结构施加重力荷载作为初始重力工况,再开展时程分析,因为弹性滑板支座的受力性能与竖向荷载相关性较大;
- 对需要考虑竖向地震的结构需要重视其影响;
- 于弹性滑板支座,橡胶支座部及滑移材料的压应力限值均应满足表4.6.3的规定;
- 弹性滑板支座在地震作用下水平位移不应大于其产品水平极限位移的 0.75倍。特殊设防类结构,极罕遇地震作用下,弹性滑板支座在地震作用下水平位移不应大于其产品水平极限位移;
- 弹性滑板支座无水平恢复力,需与橡胶支座组合使用。
- 弹性滑板支座、摩擦摆隔震支座或其他不能承受竖向拉力的支座宜保持受压状态,在罕遇地震下的最大竖向压应力限值应满足表6.2.1要求。
往期相关内容推荐: 【03】入门弹性滑板支座(ESB)产品、原理与设计(第1篇)
文章发布24h后可联系小编开通转载权限,转载须开头注明来源:防震技术,感谢您的理解!
微信号|防震技术
期待您的关注
免责声明:文章有部分内容来源不详,
如有侵权,请联系我们,我们会第一时间处理。
点“在看”给我一个小心心
技术邻APP
工程师必备
工程师必备
- 项目客服
- 培训客服
- 平台客服
TOP




















