力学笔记#4:结构动力学和弹性动力学运动平衡方程的异同,顺便简述拉格朗日描述和欧拉描述
2024年11月20日 08:22- 个人随记、感想,恳请指出错误。
- 参考资料见文后,文中的引用以“作者+页码”、“作者名年份+页码”等方式呈现。
之前在学习有限元过程中,在曾攀老师的《有限元分析及应用》P299看到结构动力学的运动平衡方程,其中表示位移的二阶和一阶导的第三、四项写法上都是其上加一点,本质是df/dt的形式,见下图:
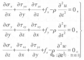
有一天我翻开吴家龙老师的《弹性力学》(高教社第五版)P52,发现运动平衡方程中的速度二阶导项符号用的是偏导符号,在经典的徐芝纶老师的弹性力学教材中也是偏导符号,见下图:
作为牛角尖重度爱好者,整个人一下就不好了。^_^
另外,上图1中的结构动力学运动平衡方程的建立也运用了微元法。当时作为初学者,其实是比较难以想象阻尼力在微元体中到底是怎样的一种存在的,而目前结构动力学的其他教材,例如克拉夫以及Anil.K.Chopra的那本,都是直接从弹簧振子出发直接建立刚度方程,就少了引出运动平衡方程这一步了。
对于偏导符号这个问题,经过学习,大致有了些个人看法,供朋友们批判。先说结论:两种表示符号都可以。
根据连续介质力学,大部分张量场(例如速度、加速度、应力场等)都是定义在物质点上的(黄克智P227)。这是自然存在决定的,有物质才有一切。观察定义在物质点上的张量场随时间的变化就是物质导。物质点的矢径随时间的变化就是矢径(注意它不是一个张量)的物质导,就是速度场。
通俗来讲,对于运动的“一坨”物质点,我们将其变形前的样子叫做初始构型(initial configuration),将其变形后的样子叫做当前构型(current configuration)。我们人站在一个固定不动的笛卡尔直角坐标系中观察物质的运动。物质在初始构型时,每一个物质点都有一个笛卡尔直角坐标值ζ,现在我们想象,当物质开始运动后,有一个坐标系附着在其上,跟随其运动、变形。该随体坐标系在运动开始前和笛卡尔直角坐标系是完全重合的,它的特点是,在运动过程中,它保证每一个物质点在该随体坐标系中的坐标值仍然为ζ。可以说运动表现为:物质点在随体坐标系中的坐标值一直不变,而运动表现为随体坐标系的运动,也就是随体坐标系通过自身运动去将就每一个物质点(哄着它,舔狗啊)。当运动结束,到达当前构型的时候,每一个物质点在原来的固定的笛卡尔直角坐标中的坐标值就变为x了,这时候随体坐标系也运动结束,由最初与笛卡尔直角坐标系完全重合的那个“正直(orthogonal)人”,扭曲成了一个曲线坐标系(真是舔狗不得house啊)。
我们就将随体坐标系称为拉格朗日坐标系(以下简称L),它是跟随物质运动的,将不动的笛卡尔直角坐标系叫做欧拉坐标系(以下简称E)。我们将物质在初始构型时的笛卡尔坐标值ζ叫做L坐标或者物质坐标,它是跟随物质点不变的,相当于作为身份证号标记了一个个物质点,当前构型物质点在E系中的坐标叫做E坐标或者空间坐标。这样就有一个关系:x=x(ζ,t),这个关系式就是运动方程。t时刻就是当前构型,t=0时刻就是初始构型,可以发现,初始构型时,x=ζ,这符合上面说的:将初始构型的笛卡尔坐标叫做L坐标。基于运动方程x=x(ζ,t),当前构型中任意物质点上定义的张量既可以用ζ坐标来描述(我们叫他的名字),也可以用x坐标来描述(我们指出他在哪里),这分别就是拉格朗日描述和欧拉描述。
现在我们要在当前构型研究物质的运动,我们要求出物质点在当前构型的速度或者加速度。前面说了,人是站在笛卡尔坐标系中不动的,也习惯于用笛卡尔坐标系。所以t时刻任意物质点的速度就变成了v=dx/dt或者x上加一点,就是物质点在笛卡尔直角坐标系中的坐标值随时间的变化率。这是很自然的,我们在本科物理甚至高中物理阶段都这么求的不是么。加速度就是a=dv/dt。
但是高中和本科物理阶段我们还没接触连续介质的速度场,我们关注的是单个质点,dx/dt最后给出的表达式就是我们关注的那个质点的速度随时间的变化v(t)。然而我们这里要研究连续介质速度场,也就是要研究任意或者所有质点的速度,dx/dt的表达式要体现这一点。恰好,我们有一个运动方程x=x(ζ,t),该方程表示了任意或者所有质点在t时刻的E坐标,那么dx/dt在保持ζ不变的时候,就可以写成∂x(ζ,t)/∂t。∂x(ζ,t)/∂t就是上面说的物质导。
现在回到开头的问题,我们就可以说:如果方程中用dx/dt(或者x上加一点),意思就是在表明“这里是一个物质导,这只是个指示,我们主要精力在别处”;如果用∂,意思就是“我们要求这个量的物质导,如果你拿到了速度的解析表达式,记得要保持ζ不变求偏导”。黄克智P236的物质导定义式也表明了这一点。
另外提一下空间描述。这一般用在流体力学方程中,表示我们观察的是空间中某个位置x处的物质点上的张量(这有点绕啊),只要牢记x=x(ζ,t)表明在物质占据的任一个空间点x都有一个物质点ζ即可理解。所以,定义在ζ上的这个张量,我们就可以说,它是空间点x处的张量。
简单举例。在固体力学中,我们是关心物质点的应力,例如一个大变形的橡胶,我们想看一下它被压缩后某点的应力,相当于我们变成小人儿跟着这个物质点运动到它的新位置后,我们说“变形前坐标为ζ的这个点,在变形后的应力是多少balabala.....”。在流体力学中,我们更关心相对我们保持不动的某个空间点处的物质点上定义的物理量,比如我们坐在飞机上,机翼相对我们不动,我们针对机翼建立一个固定笛直系,我们关心并研究流过机翼的大量物质点在机翼上某些点产生的压力等。
那上面介绍的物质导都是物质描述的,空间描述的物质导是什么样的呢?这个问题一时半会说不清楚,说得不好反而让人理解起来更困难。我这里给出黄克智P245的相关描述:
请忽略第一个图中“蹲点坚守”四个笔记字,真正的蹲点坚守是图二那个。关于这个的理解,李新亮的CFD课程中也有一个比较好的例子(哔哩哔哩有视频),就是人发着烧坐着火车从北京到上海,好像是这么的,也比较生动。空间描述的物质导基本应用在流体力学中,流体力学中的几大守恒方程可以说都来自雷诺输运定理(黄克智P277),而雷诺输运定理的理解就依赖于图中内容的理解。
最后回到开头讲的第二个问题:结构动力学运动平衡方程的建立也运用了微元法,合适吗?个人观点是不合适的,因为阻尼是一个非常宏观、唯象的量,是为了表征振动过程中能量的耗散而构造的一个量。比如说库伦阻尼,跟摩擦什么的有关,那也不是每一个微元体都有库伦阻尼。这使人想起知乎一个问题:
https://www.zhihu.com/question/383499268/answer/2613864584
似乎大家讨论还挺多,我对这方面研究不深,就不多说了。不过,曾攀老师这本《有限元分析及应用》,那真真是我见过的最好的有限元入门书,没有之一。他本人也被报道说将有限元讲的出神入化,https://www.tsinghua.edu.cn/info/1366/81411.htm。可惜的是他已经故去。我们向他致以崇高的敬意。
参考资料:
吴家龙《弹性力学》第四版,高等教育出版社。
吴望一《流体力学》第二版,北京大学出版社。
黄克智《张量分析》第二版,清华大学出版社。
曾攀《有限元分析及应用》,清华大学出版社,2004.
工程师必备
- 项目客服
- 培训客服
- 平台客服
TOP




















