FLUENT 中 V2F 湍流模型应用介绍
2016年11月30日 13:44本文主要参考 ANSYS Fluent V2F Turbulence Model Manual
本文内容介绍:
V2F 模型介绍
FLUENT中V2F模型激活应用
参考文献
V2F 模型介绍
能否成功模拟流动分离现象的关键在于能否准确预测流动分离角。在这种模拟案例中,雷诺应力模型和湍流粘性系数模型均一定的局限性。湍流粘性系数模型(例如k-e模型)常常失效,原因在于:对湍动能计算的高估,流线曲率的不敏感性和湍流脉动各向同性假设。雷诺应力模型(RSM)尽管能够捕捉到k-e模型无法得到的湍流特性,但其本质复杂性使得计算上常常无法应用。
V2F 模型是介于湍流粘性系数模型和雷诺应力模型之间的一种模型,基于Durbin的k-e-v2 模型上发展起来。V2F模型整体方程形式与标准k-e模型相似,但考虑了壁面附近的湍流各向异性和非局域压力应力项。
V2F模型是一种通用的低Re数湍流模型,因此在固体壁面近壁区域也适用,因此不需要壁面模型。模型对于流动分离现象模拟较为准确。
V2F模型基本理论
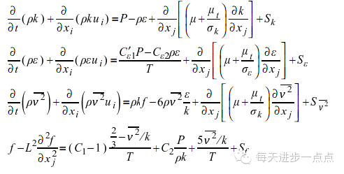
V2f模型是基于输运方程的四方程模型,对湍动能k,湍动能耗散率e,速度方差率v2和椭圆松弛函数f。在V2f模型,控制方程如下:
其中
湍流时间尺度T和长度尺度L定义如下:
以上方程中,各个变量命名方式复合FLUENT常用命名方式,f是椭圆松弛方程的解。V2f模型使用了椭圆算子来类比RSM模型中的压力应力项,椭圆算子是一种修正的Helmholtz算子,通过线性微分算子来处理壁面效应。
湍流粘度(涡粘性)定义如下:
FLUENT 中默认的参数数值如下:
2.在FLUENT中应用V2F模型
本节主要内容:
激活V2F模型
定义边界条件
3. 初始化k,e和v2
激活V2F模型
FLUENT默认湍流模型中并没有V2f模型,需要在fluent控制台命令窗口中激活,激活命令为:
(allow-v2f-model)
然后在粘性模型中选择V2F模型
定义边界条件的方式和其他模型一样
初始化k,e和v2
合理的初始值对于模拟非常重要,通常建议采用充分发展段的湍流参数。
建议开始时采用k-e模型或者realizable k-e 模型计算,收敛之后切换成V2F模型
后处理与其他湍流模型一样,FLUENT计算结果中提供下面湍流参数:
•Turbulent Kinetic Energy (k)
•Turbulent Intensity
• Turbulent Dissipation Rate (Epsilon)
• Velocity Variance Scale (v2)
• Elliptic Relaxation Function
• Production of k
• Turbulent Viscosity
• Subgrid Turbulent Viscosity
• Effective Viscosity
• Turbulent Viscosity Ratio
• Effective Thermal Conductivity
• Effective Prandtl Number
• Wall Ystar
• Wall Yplus
本文主要参考 ANSYS Fluent V2F Turbulence Model Manual
纠错与讨论,请站内我
3.参考文献:
[1] M.Behnia, S. Parneix, Y. Shabany, and P. A. Durbin. "Numerical Study of Turbulent Heat Transfer inConfined and Unconfined Impinging Jets". International Journal of Heat and Fluid Flow. 20. 1-9.1999.
[2] P.A.Durbin. "Separated FlowComputations with the k-epsilon-v2 Model". AIAA Journal. 33(4). 659–664. 1995.
[3] S.Parneix, P. A. Durbin, and M. Behnia. "Computation of a 3D Turbulent Boundary Layer Usingthe V2F Model". Flow Turbulence andCombustion. 10. 19–46. 1998.
工程师必备
- 项目客服
- 培训客服
- 平台客服
TOP




















