纯电动汽车动力匹配及仿真计算
2021年5月18日 10:52声明:本平台只提供分享和交流不作商业用途,如侵权请及时联系我们删除!
纯电动汽车是以车载电源为动力,用电机驱动车轮行驶,符合道路交通、安全法规等各项要求的车辆。随着经济和社会的发展,传统燃油车在给人类生活带来极大便利的同时,也带来了严重的环境污染及能源危机。由于对环境影响相对传统汽车较小,出于对环境保护和能源危机的关注以及占领未来世界汽车市场的考虑,电动汽车的发展越来越受到人们的重视。
1.动力系统设计需求
对纯电动汽车进行运动力学特性分析是整车性能研究的基础。从力学角度分析,运动中的车辆收到的力按作用类型可分为两部分:一部分用来实现汽车有效动能和势能的作用力,成为驱动力;另一部分是阻碍车辆运动的阻力,包括滚动阻力、空气阻力、坡道阻力和加速阻力。本文所分析的车辆,其动力性能指标见表1。
表1 动力性指标
2.电动机参数匹配
动力性和经济性是纯电动汽车的基本性能需求,纯电动汽车动力性指标主要有最高车速、加速时间、最大爬坡度等,其性能指标体现了纯电动汽车在行驶过程中能达到的极限运动水平。结合整车的参数,由此来决定驱动电机的最大扭矩、额定功率、最大功率、最大转速等参数。经济性则反应了纯电动汽车行驶过程中的能耗水平,主要是电能的消耗。
与传统汽车在行驶过程中受力一样,纯电动汽车在行驶过程中有滚动阻力Ff、空气阻力Fw、加速阻力Fj 和坡度阻力Fi。在行驶中,驱动力需克服上述阻力。电动汽车的驱动力Ft 由驱动电机产生的转矩T tq 经传动系统传动到驱动轮上。汽车行驶方程为:
其中,汽车总质量m=1825kg,车轮半径r=0.33m,风阻系数Cd=0.35,滚动阻力系数f=0.014,旋转质量转换系数δ=1.29,迎风面积A=2.7 m2,重力加速度g=9.8,传动比i=7.8,电机效率η d=0.95,机械传动效率ηc=0.98。
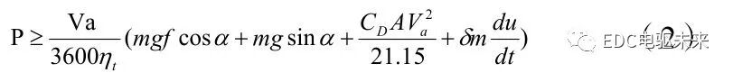
一般来说,电动汽车整车动力性指标中,最高车速对应的是持续工作区,即电动机的额定功率;而最大爬坡度和全力加速时间对应的是短时工作区,即电动机的峰值功率。由式(1)转化为功率平衡方程为:
仿真结果表明,本文所设计选择的驱动电机及动力电池满足使用要求。文章为电动汽车动力系统设计、动力性能分析提供了一种有效的方法,也为后续的实践工作奠定了一定的基础。
电机的峰值功率应该满足汽车以最低稳定速度爬坡所需功率及以最大加速度行驶所需功率,最大爬坡度是指满载时在良好路面上用最低档克服的最大坡度。
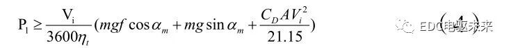
爬坡功率有:
加速功率有
峰值功率需满足:
电机的峰值扭矩应满足汽车以最低稳定速度行驶时所能爬的最大坡度所需的扭矩,即:
电动机的最大转速应能满足汽车以最高车速行驶时所需的转速,汽车速度与电机转速之间的关系为:,通过换算,得:
带入相关参数通过以上计算,选择永磁同步电机,其参数为:额定功率30kW,最大功率60kW,额定扭矩120N·m,最大扭矩240N·m,最大转速8000rpm。
3.动力电池匹配
纯电动汽车在行驶过程中所需的能量完全来自于动力电池,所以要求动力电池具有与汽车使用寿命相当的充放电循环寿命,拥有高效率、良好的性价比以及免维护特性。动力电池参数的匹配主要考虑电池组的容量、电压、能量密度、电池类型等。由于电动汽车DCDC、电动空调、电动转向助力泵、电动真空泵等附件也要消耗一定的电能,所以电池组的总电压要大于驱动电机的额定电压;电池组的容量取决于电动汽车的续驶里程,电池组的容量越大,电动汽车续驶里程越长。
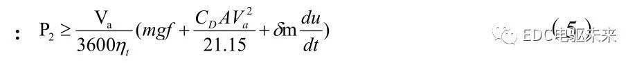
根据设计需求,动力电池需保证汽车等速(60km/h)行驶405km。匀速行驶时,汽车需求功率为:
汽车等速(60km/h)行驶405km,用时为6.75h,因此电池总能量为50kwh。选择锂离子电池,考虑储备能量,确定电池组的参数为:动力电池系统电压302V,总容量183Ah,总能量55.3kWh。
4.汽车动力性校核
4.1 电机性能校核
在MATLAB 环境下编程得到额定工况下的各车速情况下驱动力-行驶阻力平衡图、最大爬坡曲线图、加速度倒数曲线图,分别如图1至图3所示。从图1中可以清楚地看出不同车速时驱动力和行驶阻力之间的关系。驱动力和行驶阻力曲线的交点对应的速度即为最大车速,从图中可知汽车最大行驶速度大于设计需求速度。从图中还可以看出,当车速低于最高车速时,驱动力大于行驶阻力,这样汽车就可以利用剩余驱动力加速或爬坡。从图2中可以看出不同车速时汽车的爬坡能力,最大爬坡能力大于设计要求的爬坡能力。图3中速度与加速度倒数的曲线图包围的面积值即为加速时间,通过计算面积,0~50km/h(13.89m/s)加速时间为5.3s,满足开发要求。
图1
图2
图3
4.2 续驶里程校核
根据GB/T18386-2017《电动汽车能量消耗率和续驶里程试验方法》中的相关要求,采用NEDC 来进行续驶里程的测试。在MATLAB 下建立仿真模型,应用NEDC 循环工况进行仿真计算。结果如表2,通过计算结果可知,动力电池满足设计所需续航里程。
表2
5.结论
平行移动式卡线器结构如图1所示。本体与下夹嘴采用销轴连接固定,上夹嘴、压板、拉板及拉环依次使用销轴连接组成连杆机构。
EDC电驱未来
长按下面图片选择识别二维码,关注我们
工程师必备
- 项目客服
- 培训客服
- 平台客服
TOP




















