Moving heat 高斯移动热源插件及简介
2021年12月13日 22:05移动高斯热源的数值模拟可以精确地模拟包括焊接在内的各种工业过程。准确预测焊接或激光切割过程中产生的瞬态热场,对于预测由此产生的残余应力至关重要,而残余应力又影响寿命预测分析。
目前Workbench中的瞬态热分析模块只能用于定义时间变化或空间变化的边界条件。定义一个在空间上和时间上都不同的载荷,则需要使用APDL命令。这对很多初学者来说比较困难。为此,创建ACT扩展,以方便在 Mechanical中使用UI定义移动热流源。
移动热源插件应用于ANSYS Workbench Mechanical17.0版本及以上。
1、在项目页中,选择“ACT Start Page”选项;
2、点击“Extension Manager”扩展管理器;
3、按右上角的“+”符号;
4、它将打开一个文件对话框,选择合适的“*.wbex”二进制文件;
5、安装完成。
加载移动热源
1、从扩展管理器中,单击您的扩展并选择“Load Extension”;
2、加载完成。
Moving Heat Flux Source
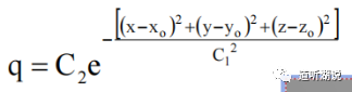
该ACT扩展模型的高斯热流源使用下列方程:
Q =期望表面上的热流;
C1 =光束半径;
C2 =电源功率强度;
(x0,y0,z0) =从“起点”到“路径”距离“v x t”处热流中心的瞬时位置;
v =热源移动速度;
t =时间。
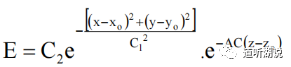
Moving Heat Energy Source
该ACT扩展模型对高斯热源的计算公式如下:
E=热能;
C1 =光束半径;
C2 =功率强度;
AC=吸收系数;
(x0,y0,z0) =从“起点”到“路径”距离“v x t”处热流中心的瞬时位置;
v =热源移动速度;
t =时间。
右键单击分析系统,插入“‘Moving Heat Flux”。
Face:物体的“面”,移动的热流将施加在其上;
Path:移动热源的路径。可以是物体表面的任何边缘;
Start Point:移动热源的“起点”。这是“路径”的边的两个端点之一;
Index:移动热源的唯一id。对于不同的移动热源,有不同的index很重要;
First Patch:移动的热流是否第一个被激活,这将是最小的开始时间;
Last Patch:移动的热流是否最后被激活的标志,这是最长的开始时间;
Velocity:热流源的速度;
Radius of the beam:热源半径;
Source Power Intensity:热源的强度;
Start Time:移动热源的启动时间;
End Time:移动热源的结束时间;
Number of Segments:将路径在等距离点分割,将作为移动的热流的中心;
Minimum Steps for Cooling Phase:用户可以设置总的分析时间大于“结束时间”,从而可以同时进行冷却基板。
Material Removal:材料移除是否被激活。
Melting Temperature:单元被移除时的平均温度。
注意:这两者只在“Last Patch”被激活时才能使用!
因此,正确设置“First Patch”和“Last Patch”十分重要!!!
以下内容为付费内容,请购买后观看
9人购买
moving heat移动热源插件
工程师必备
- 项目客服
- 培训客服
- 平台客服
TOP




















