【材料应用】抗菌PA56 | 让医用也可降解!
2022年9月21日 14:02随着新冠病毒在欧洲的不断扩散和变异,越来越多的防疫物资被送往抗疫一线,研发新型医用材料也成为现在热门研究方向。在众多高性能材料中抗菌、可降解让PA56脱颖而出。
生物基聚酰胺56(PA56)是由生物基戊二胺与石油基己二酸合成的一种高聚物,其中生物基含量达到40%以上。生物基 PA56 作为一种环境友好且性能优异的高分子材料被广泛运用,且前景广阔。
聚六亚甲基胍盐酸盐(PHMG)是环保型高分子抗菌剂,属于有机抗菌剂,具有广谱高效的抗菌性 能以及易溶于水、无色无味、低毒性和价格低廉等特点,较好的热稳定性能,让其能够直接用于熔融共混的生产工艺中。
将不同比例的PHMG与PA56共混,形成PA56/PHMG共混体系,并通过熔融纺丝的方法可以制备得到抗菌PA56纤维。
01
PA56和PHMG相容性
PHMG在PA56中呈现颗粒状态,大约在0.2~1μm之间,分布均匀,即使PHMG质量分数达到3%的比例时,依旧没有出现大量团聚的情况;同时可以看出:共混物断面未出现明显孔洞,没有相分离现象,说明两者有很好的相容性。其主要原因是PA56与PHMG均含有端氨基,它们具有一定的化学相容性,为后续满足纤维加工提供了必要条件。
PA56及PA56/PHMG共混体系在2K和10K倍数下的SEM图像
02
PA56/PHMG共混体系黏度分析
随着PHMG添加量的增加,PA56/PHMG共混体系的黏度逐渐降低,但总体降低不大。主要原因是PHMG颗粒可以使PA56大分子链之间相对滑动更加容易,起到增塑剂的作用,从而降低了共混体系的黏度。
PA56及PA56/PHMG的黏度
03
PA56/PHMG共混体系热性能分析
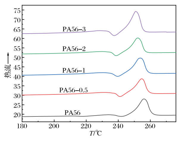
随着抗菌剂PHMG添加量的增加,PA56/PHMG共混体系的熔点逐渐降低,由纯PA56的254.9 ℃降低至250.8 ℃。其原因是PHMG的加入破坏了PA56的结晶度,导致共混体系的熔点降低,少量的PHMG加入总体上对其熔点影响不大。PHMG质量分数从0.5%增加到3%时,未出现共混物熔融曲线的双峰特性。主要原因是由于抗菌剂PHMG的添加量较少,且混合得比较均匀。
PA56及PA56/PHMG的DSC升温曲线
PA56及PA56/PHMG的DSC和TGA测试结果
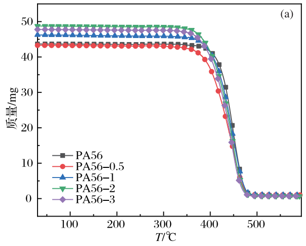
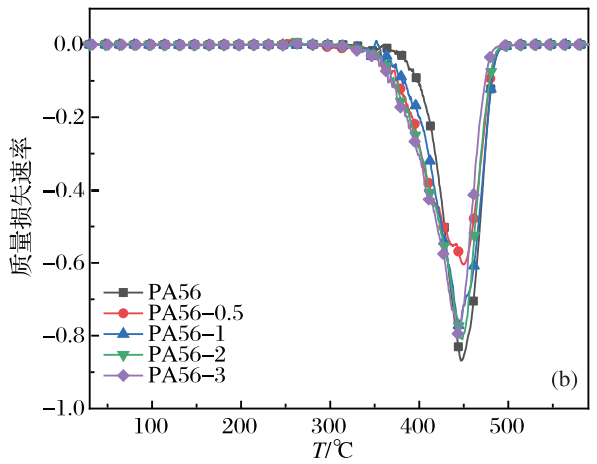
随着抗菌剂PHMG添加量的增加,PA56/PHMG共混体系的分解温度逐渐降低,质量损失5%的分解温度由纯PA56的400.7 ℃降低至373.7 ℃。主要原因是PHMG的分解温度比PA56低,导致共混体系分解温度降低。根据DSC和TGA的数据分析可以得出结论,少量PHMG的加入对 PA56/PHMG共混体系热稳定性影响相对较小。
PA56及PA56/PHMG的TGA曲线
PA56及PA56/PHMG的DTG曲线
04
PA56/PHMG纤维力学性能
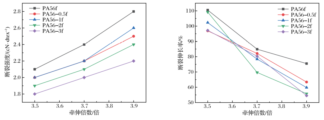
随着牵伸倍数的增大,抗菌PA56纤维的断裂强度逐渐增加,断裂伸长率逐渐降低。这是因为随着牵伸倍数的增大,纤维大分子链在应力的作用下沿轴向排列更加规整,从而提高了纤维的断裂强度,降低了断裂伸长率。
随着抗菌剂PHMG添加量的增加,抗菌纤维的断裂强度和断裂伸长率都呈下降的趋势,含3%PHMG的抗菌纤维相较于PA56维的断裂强度和断裂伸长率大约下降10%~20%。主要原因是纤维中的PHMG微粒会导致纤维拉伸时应力不均匀,存在应力弱点,因此抗菌纤维的断裂强度和断裂伸长率下降。
PA56和抗菌PA56纤维的力学性能
05
PA56/PHMG纤维的抗菌性能
PA56纤维对大肠埃希菌和金黄葡萄球菌具有40.2%和 45.2%抑制率。当PHMG质量分数为0.5%时,抗菌PA56 纤维的抑菌率提升到90%左右;当PHMG质量分数达到2%时,抑菌率已经可以达到99.9%,表现出非常优异的抗菌性能。
PA56和抗菌PA56纤维的抑菌率
06
总结
PA56/PHMG共混体系中的PHMG以细微的颗粒状物体均匀分散在PA56中,其粒径大小基本在1μm以下,PHMG与PA56共混体系具有很好的相容性。
随着PHMG添加量的增加,PA56/PHMG共混体系的熔点、分解温度、黏度逐渐降低,但整体下降程度较小。
PHMG添加到一定程度时,降低了PA56/PHMG抗菌纤维的力学性能,但总体下降不大。
添加极少量的PHMG,PA56/PHMG共混体系就能够获得很好的抗菌性能。抗菌剂质量分数为0.5%即可达到抗菌标准的要求;当PHMG质量分数达到2%时,抗菌PA56纤维抑菌率可达到99.9%。
来源:《抗菌生物基聚酰胺56及纤维的制备与性能研究》张瀚誉,钱思琦,朱瑞淑,俞建勇,王学利,刘修才
工程师必备
- 项目客服
- 培训客服
- 平台客服
TOP




















