【JY】ABAQUS正交各向异性弹性本构模型
2023年5月29日 00:04写在前文
材料的线弹性本构模型能够很好的描述处于工作荷载水平下的材料性能情况,后续材料的塑性理论也需要在弹性本构模型的基础上进行开展。由于砌体结构所采用的砌体材料具有明显的正交各项异性,故先从正交各向异性弹性入手,根据弹性理论中的正交各向异性弹性理论,建立砌体的正交各向异性弹性本构模型,并将该弹性本构模型写入Abaqus的材料子程序UMAT中,与Abaqus中自带的正交各向异性弹性本构模型进行对比验证,为后续砌体的正交各向异性弹塑性本构模型做好准备。
一、正交各向异性弹性基本理论
砌体的弹性各向异性主要是由其不同弹性特性的材料组分引起的(同样研究复合材料时也可能会遇到相同问题)。当通过不同的方向测量砌体,会得到不同的砌体的弹性特性。属于典型的正交各向异性材料,本文先从其平面正交各向异性弹性特性入手。
在正交各向异性材料的分析中,需要使用两个坐标系统:材料坐标系统与整体坐标系统。以砌体为例,材料坐标是指由平行于砂浆接缝(1轴)和垂直于砂浆接缝(2轴)所形成的坐标系统。整体坐标系统指的是在结构体系下,平行于水平面(x轴)与垂直于水平面(y轴)所形成的坐标系统。材料坐标与整体坐标间的夹角为θ,二者的关系如下图1所示:
图1 正交各向异性材料的材料坐标(1-2)与整体坐标(x-y)示意图
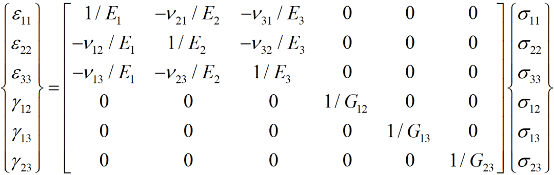
正交各项异性材料具有三个互相垂直坐标轴的材料弹性对称性,将坐标轴x、y和z分别垂直于三个材料对称,并要求绕这些轴转动180°之后弹性性能不发生改变,由此XX中的常数具有一定的关系。在这种情况下,x、y、z称为材料的主轴,同时材料弹性对称性要求四阶张量满足以下条件:
对于完整的正交各向异性材料,其三维弹性应力应变关系西要定义, 其中:
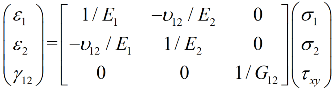
当研究问题为平面应力问题时,砌体结构单元的平面应力状态为σ3= 0,根据图1 所示的坐标关系示意图,以上的本构张量缩减为2×2矩阵,具体如下:
二、正交各向异性弹性UMAT子程序验证
由于平面内受力可以涵盖绝大多数砌体在真实结构中的受力情况,故以平面问题为例,建立二维平面墙板二维有限元模型,如下图所示:上图所示平面墙板的几何尺寸为: 100mm × 100mm × 2mm~
根据前述正交各向异性弹性的基本理论,给定材料基本力学参数,如下表1所示:
表1 单位: MPa
| E1 | E2 | v12 | G12 | G13 | G23 |
|---|---|---|---|---|---|
| 3000 | 2000 | 0.1 | 900 | 800 | 1000 |
上表中给出G13和G23,但未在正交各向异性弹性本构张量中予以应用,但在Abaqus中用于计算其横向剪切变形,在厚度较小时可忽略。
将Abaqus中自带的正交各向异性弹性本构模型与根据弹性理论编写的正交各向异性弹性子程序UMAT计算结果进行对比,并且改变材料坐标与整体坐标之间的夹角,共进行三个工况,夹角分别为:30°、45°和60°,具体结果如下(以下左图为编写的 UMAT 本构,右图为 Abaqus 自带本构):
应力应变曲线
夹角30度结果:
夹角45度结果:
夹角60度结果:
顶点位移
夹角30度 结果:
夹角45度 结果:
夹角60度 结果:
位移分布
夹角30度 结果:
夹角45度 结果:
夹角60度 结果:
应力分布
夹角30度 结果:
夹角45度 结果:
夹角60度 结果:
结论
根据以上对比结果可知,根据正交各向异性弹性理论所编写的UMAT子程序与Abaqus自带的正交各向异性本构模型计算结果一致(应力应变曲线、顶点位移、位移分布、应力分布),可用于后续弹塑性本构模型中的弹性本构。
欢迎下载源代码,for文件~umat本构文件!
完
更多精彩,关注建源学堂!
以下内容为付费内容,请购买后观看
34人购买
欢迎下载源代码,for文件~umat本构文件!
工程师必备
- 项目客服
- 培训客服
- 平台客服
TOP




















