【技术文章】基于Inspire软件的汽车踩踏板材料及结构轻量化设计
2023年6月9日 16:20引言
汽车踩踏板是驾驶员实现汽车加减速的重要零部件,主要包括踏板面、主体和固定部分,图1为汽车踩踏板模型。据计算,汽车的总质量降低10%后,燃油消耗可降低6%~8%,排放污染物可降低4%,汽车轻量化设计对汽车产业可持续发展和实现“碳中和、碳达峰”具有重要意义。踩踏板是汽车工作过程中使用频率最高的零件之一,其轻量化设计是当代汽车设计开发的重要考虑因素,即在一定的设计空间内,满足限定条件的前提下,选择合适的材料,通过拓扑优化调整其结构参数达到最优。
本文借助Altair Ispire软件,采用有限元方法模拟汽车踩踏板在各个工况下的受力情况,确定风险点位置,根据拓扑云图并基于踩踏板原始模型构建满足结构强度要求的优化模型,实现汽车踩踏板的轻量化设计。优化过程针对性强,可有效缩短优化周期。
1.初始模型分析
踩踏板承受载荷主要来自垂直于踏板面的力,即踩踏力,端部和中间孔是与汽车制动系统的固定孔,通过约束和力来表征固定孔的安装和承载情况。踩踏板受力及约束表达如图2所示。驾驶员在行车过程中,踏板面受到垂直于面向下的50N作用力,中间孔部位置在踩踏板工作过程中为固定约束,端部孔则受到垂直向上的50 N反作用力。在单一载荷工况下对汽车踩踏板进行初始强度分析,设定分析限定条件,如分析单元、分析精度、载荷工况、分析模式等等。通过结构仿真获得踩踏板应力、安全系数和质量云图,通过云图可知,踩踏板质量为0.24kg,最小安全系数为1.8,最大等效应力为23.3MPa,均出现在中间孔部约束位置。
2.材料选择
汽车零部件材料轻量化和结构轻量化两者相辅相成,在选用合适材料轻量化基础下,借助结构轻量化最大限度地实现踩踏板轻量化。所选材料既要保证零部件强度要求,又要实现减轻车身自重的目标。目前汽车常用轻量化材料有高强钢、铝合金和复合材料。
2.1高强钢
高强钢在汽车制造中应用非常广泛,主要用于防撞杆、骨架、立柱等汽车零部件,是汽车应用最多的材料之一,强度远超传统钢制材料,是汽车轻量化常用材料。高强钢轻量化手段是提高强度、减薄厚度,以实现轻量化。但在实际使用过程中会面临诸多难题,例如:随着钢板强度的提高,高强度钢韧性、成形性、焊接性会随之下降。
2.2铝合金
铝合金具有与钢制材料相同等级的强度,其密度仅为钢材的1/3,比强度较高,是汽车零部件较为常用的轻质材料。铝合金型材具有较好的抗冲击能力,是钢材的2倍,可显著提升汽车的碰撞强度。铝合金型材在汽车制造过程中已表现出举足轻重的作用,主要用于壳体、内外板等汽车零部件,将来在汽车轻量化进程中的应用会越来越广泛。
2.3复合材料
随着人们对汽车防腐、美观和舒适等方面需求的不断增加,非金属材料在汽车制造过程备受关注,复合材料则是汽车轻量化过程中具有代表性的非金属材料。复合材料具有质量小、易设计、耐腐蚀等特点,主要用于仪表盘、翼子板等汽车零部件,但由于复合材料成本较高,限制了其应用范围。
2.4材料对比
表1对高强钢、铝合金和复合材料特点进行了对比,踩踏板轻量化过程需要考虑减重效果、安全性和成本等综合因素,根据3种材料的对比可知,铝合金材料最适合作为踩踏板轻量化材料。汽车踩踏板初始模型材料为钢材,轻量化过程采用6系铝合金材料,最大限度地提高踩踏板强度并降低质量,实现综合性能优化。
3.结构优化设计
3.1结构优化原理
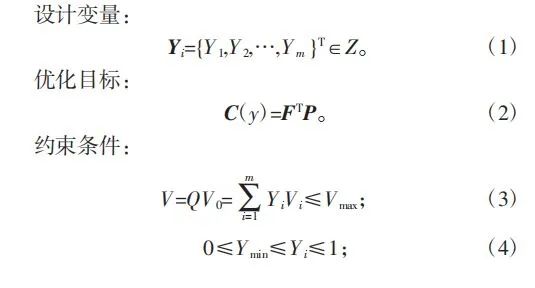
结构优化概念在1988年由Kikuchi首次提出,其优化思想是:根据结构件载荷状况、限定条件和性能要求,把求解结构的最优轻量化问题转变成求解材料的最优分布问题,在优化设计空间内对材料分布进行设计。通过对踩踏板进行结构、材料的优化设计,可以更好地提高汽车实用性,降低温室气体排放。汽车踩踏板结构优化过程采用Kikuchi所提方法进行优化设计,即将踩踏板设计变量作为优化空间中各部分的相对密度,明确踩踏板优化区域的约束条件,设定优化前后的体积百分比,并建立踩踏板结构拓扑优化模型,踩踏板结构拓扑优化数学模型如下。
式中:Y为优化空间各部分相对密度;Z为材料密度的取值区域;m为全部设计域单元量;优化目标C(y)为目标结构平滑度;F为踩踏板结构件承受的负载;K为踩踏板结构的整体强度;P为踩踏板结构承受负载情况下的位移;V为每次优化设计后踩踏板的体积;Q为初始设定优化后踩踏板总体积保留率;Vmax为初始设定的优化后踩踏板体积最大值;Ymin和Ymax分别为设计空间相对密度的最小值和最大值,当踩踏板某部分相对密度等于Ymin时,则认为该部分密度为0,即该部分已被去除。
3.2结构优化流程
优化设计中需要综合考虑踩踏板及其所构成系统的刚度、强度等性能,以保证踩踏板和整车的安全性能,图3为拓扑优化设计流程图。
3.3结构优化校核
结构优化后需按要求修改重构模型(如表面光顺、曲面优化等),并进行强度校核以验证重构模型是否合理,如优化结果不满足强度校核要求,则重新设定优化参数进行二次优化,直至满足要求为止。
4.结语
本文从铝合金材料选择和结构拓扑优化2个角度对汽车踩踏板进行轻量化设计,为汽车整体轻量化设计奠定研究基础,实现了以下优化目标:
作者:马昌武,许维革,崔玉芝,王仲勋,徐东
来源:机械工程师
工程师必备
- 项目客服
- 培训客服
- 平台客服
TOP




















