噪声基础及电机噪声的测量
2023年6月16日 11:33浏览:3268 评论:2 收藏:6
噪声是判断电机质量的重要指标,且非常直观的影响评价者的感受。所以一俊遮百丑,低而不刺耳的噪声更容易获得客户的认可。我们这篇就聊一聊
电机噪声最基础的知识。
什么是噪声
声音是由物体的振动产生的,振动的物体即声源。声源激励着它周围的空气质点振动,从近及远传播起来,这就是声波。声波会导致声场内的空气压强发生变化,变化范围是20μPa~20Pa。可见与大气压强10^5Pa相比,这个波动是很小的。
声音作为一种机械波,它有幅值、频率和初相位。人耳能听见的频率范围是20~20000Hz,低于20Hz的声音是次声波,高于20000Hz的声音是超声波。多个不同幅值和不同频率无规律的组合在一起的声音,就是噪声。这里不讨论噪声和音乐的区别,毕竟张学友的歌声也不能为所有人都喜欢;噪声的评价是客观的,不管女神一句“你是个好人”是赏给谁的,在我们这里都是噪声。
虽然声音在不同介质中的传播速度不同,但是人耳接收的都是从空气传播的声音。区别在于,有的声音是从声源直接通过空气传播的,这是空气声;而有的声音是声源振动引起其它结构的振动再通过接收者附近的空气传播的,这是结构声。《让
子 弹飞》的开头姜文听车轨判断火车的到来,我们用螺丝刀支到电机端盖上耳朵靠近刀把,都是利用了结构声。本篇主要讨论空气声,测量噪声时要避免结构声的传播。
噪声的量度:声压级
我们都知道声音的单位的分贝dB,这其实小有误会。分贝是量度两个相同单位之数量比例的计量单位,可用在很多场合,只是声学使它更出名而已。
人耳能听到的最小的声音(闻阀)是20μPa,能承受的最大的声音(痛阀)是20Pa:这中间差了一百万倍,计量很不方便。比如晚上安静的卧室是630μPa,普通交谈是20mPa,拖拉机约0.63Pa,电锯工作时6.3Pa。
为了方便计量,声学引入对数形式。我们把p0定义为基准声压,即p0=20μPa;若某处声音的压力为p,那么该声音用声压级可表示为
Lp=20lg(p/p0)=10lg(p^2/p0^2) 公式一,
单位dB。
这样,闻阀是0dB,痛阀是120dB,上述卧室、交谈、拖拉机和电锯分别是30dB、60dB、90dB、110dB。这些数字看起来“合理”了很多。
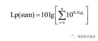
两个或多个声音的叠加,是能量的叠加。能量与压强的平方成正比(下节细说),所以参照公式一的右侧,按对数法则计算,多个声音叠加后的声压级为
公式二
作为特例,两个压强相等的声音叠加,总声压增加10lg2=3dB;三个压强相等的声音,总声压增加10lg3=4.8dB;以此类推,10个压强相等的声音总声压增加10dB。
根据公式二,我们还可以推导出一个声音Lp1叠加一个小于它的声音Lp2时,声压的增加量。
下表是根据公式三计算的两个声音差值在0~21dB时叠加后的增加量。
上述分析对计算电机噪声就够用了;更加一般的情况可参阅参考文献2。
其它量度,不同量度之间的换算
声波是有能量的,所以也可以用能量的大小表征声音的强弱。声源在单位时间内辐射出来的总声能称为声功率,单位瓦特W。声功率是一个绝对量,只与声源有关,所以相关标准中的噪声限值都用声功率级进行考核。在垂直声波传播的方向,单位时间内通过单位面积的声能称为声强,用I表示,单位W/m^2。因为声波可分解为不同频率的正弦波,且在空气自由场沿声源呈球状传播,所以声强和声压一样,大小与到声源的距离有关。声强和声压的关系为
I=p^2/(ρ*c) 公式四
式中ρ为空气的密度,约1.18kg/m^3,c为空气中的声速,约340m/s。
当p取p0时,计算基准声强,得
I0=10^-12W/m^2。
声音也可以用声强级和声功率级来表征其大小,单位都是dB:
Li=10lg(I/I0) 公式五
Lw=10lg(W/W0) 公式六
基准声功率W0=10^-12W。
下面来推导声音大小三种度量之间的换算。
联立公式一、四、五,有
Li=10lg(I/I0)=10lg(p^2/p0^2)=20lg(p/p0)=Lp
即声音的声压级和声强级数值相等。
在自由场中,已知Lp=Li,W=I*4πr^2=I*S(球的表面积公式),
Lp=Li=10lg((W/S)/I0)
=10lg((W/W0)*(W0/I0)*(1/S))
=10lg(W/W0)+10lg(W0/I0)+10lg(1/S)
=Lw-10lgS=Lw-10lg(4πr^2) 公式七
注意:因为要与W0/I0得出的m^2约掉,半径r的单位必须是米。
这说明:在自由场中生源悬空时,距离生源越远,声压和声强越小;在距离声源r=0.282m的位置,Lp=Li=Lw。
本节最后说一下声音的计权。计权即考虑权重,即各部分的数据相加时,重要部分的数据更有“价值”,输出数据时这部分的起的作用要大一些,占比更大。就声音来说,大小相等但是不同频率的声音给人耳的感受并不相同。所以当噪音是不同频率的声音组合时,需要根据频段对声音的大小进行修正。常用的是A、B、C、D四种计权方式。每种方式对不同频段的声音的权重值有所不同。总的来说,人耳对2000~5000Hz的高频声音更敏感,而对低频声音不太敏感。而A计权得到的结果与人耳的感觉十分接近,故应用最广。用A计权测量的声音,后用dB(A)表示。
电机噪声的测量与计算
声功率级无法直接测量,声强级的测量精度较差,电机噪声的测量通常用声压级。
声音有反射和折射,测量时要避免声音叠加;同时要防止结构声的辐射和传递:这就是对消声室和电机放置面的要求。
消声室的测试条件近似自由场,电机一般应水平放置。需要注意的是,因为地面较大且无结构声,所以认为所有的声功率都通过空气传播,即测试面面积只计算地面以上部分。
GB/T10069.1标定测试点的数量为:H90及以下电机测前后左右四个点;H100~225电机测前后左右以及正上方共5个点;H225以上电机也是测前后左右上5个点,只是电机较大,相邻两点之间的测量数值之差可能大于5dB,这时就要增加测点,直到小于5dB为止。
测得的各点数值要取平均值,作为电机的声压级噪声。简单的做法是各点数据直接相加除以点数,但是如前文所述,这么做是不太科学的,如同3dB+2dB≠5dB。
严谨的做法是参照声音的叠加,把各点的声压级数值换算成与基准功率的比较,再相加,取平均值,最后取对数,得到电机的声压级:
公式八
得到电机的声压级数值后,要把它换算成声功率级。原理如前节所述,现根据GB/T10069.1说明具体测试和换算方法:
H90及以下电机,把电机看成一个重心与地面相交的点,测试半径0.4m,按半球计算测试面面积,参考公式七得电机的声功率级
Lw=Lp+10lg(2πr^2)=Lp+10lg(2π*0.4^2)=Lp+10lg1=Lp
即电机的声功率级等于声压级。
H100~225电机,测试半径1m,其余与以上相同,同样可得声功率级
Lw=Lp+10lg(2π*1^2)=Lp+10lg6.28=Lp+8
即电机的声功率级比声压级大8dB。
H225及以上电机,采用平行六面体测试面,测点距离电机外表面(不含轴伸、接线盒等)1m,这样测试面的面积就和电机的长L、宽M和
高 H有关。令a=0.5L+1,b=0.5M+1,c=H+1。那么平行六面体测试面面积计算公式为
S=4*(ab+bc+ca)*(a+b+c)/(a+b+c+2)
(注:这是标准要求的,我不明白为什么要乘上(a+b+c)/(a+b+c+2)这个系数,欢迎知道的读者私信告知,谢谢!)
这样电机的声功率级
Lw=Lp+10lgS
如前文表格可知,如果环境噪音较大,会影响电机噪声的测量结果。通常认为:如果环境噪声低于电机噪声10dB或更多,可不修正;如果环境噪声小于电机噪声4~10dB,应根据前文表格修正;如果电机噪声与环境噪声的差值小于4dB,测量结果无效。
电机噪声的限值
GB10069.3规定了电机噪声限值,这是个强制标准,是必须要执行的。另外各种类型的电机还有各自的、更有针对性的要求,这里不再列出。只是有几点需要说明:
噪声限值是一般是针对空载噪声的,电机带载后的噪声较难评价。当型号相同的两台电机做对拖试验时,不考虑负载电流的影响,根据噪声的叠加原理,噪声应为一台电机加3dB。
额定频率50Hz的电机在接入60Hz电源时,因转速增加,噪声约增加3~5dB。
变频器供电时由于电压谐波较大,电磁噪声显著增加,且主要成分为高频噪声,较为刺耳。基于这个原因,GB10069.3并未规定变频电机的噪声限值。
虽然前节提及了噪声平均值的计算,但是有的标准或客户要求把各测点噪声的最高值作为电机的噪声,这是需要供需双方沟通确认的。
太多时候,虽然电机的噪声并未超出标准要求,但是有经验的专业人员能识别出“异常”声音。这需要积累,更需要如频谱分析仪等专业测量设备的使用。
结束语
分析电机的噪声,乃至提出优化措施,已超出本文的范围。电机本体的噪声可分为三大类:电磁噪声(除与电磁设计相关外,还与结构件的配合、结构件的装配精度等有关)、空气动力噪声(如内外风扇,铸铝转子的端环风翼引起)和机械噪声(轴承、各种摩擦)。每一类都是一门大学问。电机之外,与基础的连接和共振、负载的装配和工作状态等都是需要考虑的。变频电机的噪声更加复杂,不但与变频器的设计、参数和布置有关,还要考虑不同转速时的系统特性,必要时可以设置越程带跳过系统的共振点。降低电机噪声,不但需要电机工作者的努力,更需要传动系统设计者找出最佳方案。让我们一起奋斗吧!
主要参考文献:
1、电机设计 第2版 第9章,陈世坤
2、从这里学NVH 噪声、振动、模态分析的入门与进阶 第2版 第1章,谭祥军
3、国家标准GB/T 10069.1、GB 10069.3 旋转电机噪声测定方法及限值
4、知乎 声强级、声压级和声功率级之间的关系,大锤助考
文章来源:电机技术随笔
技术邻APP
工程师必备
工程师必备
- 项目客服
- 培训客服
- 平台客服
TOP
5
2
6




















