基于CFD来演示皮托管的测试效果
浏览:3344 评论:1
皮托管(又称空速管、皮氏管)是一种测量压强的仪器,可用来测量流体运动速度。皮托管由法国工程师亨利·皮托于十八世纪初发明,并在十九世纪中叶由法国科学家亨利·达西改进为现在的样子。皮托管通常用于测量飞行器的空速和工业设施中的气体的流动速度。皮托管可用于测量某给定点的局部速度而不是整条管线的平均速度。
原理图
最基本的皮托管具有一个直接处于流体中的管道。可在此管充有流体后测量其压差;由于管道中并无出口,流体便在管中停滞。此时测量的压强为流体的滞压,也称为总压。
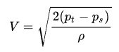
滞压本身并不能测量流体速度,但是伯努利定律指出:
滞压 = 静压 + 动压
可改写为:
解出速度为:
需要注意的是,此等式仅适用于不可压缩流体;本等式中:
V为流体速度;
Pt为滞压;
Ps为静压;
ρ为流体密度。
ρ为压力计中为流体密度
▲h为压力计读数
上式中压力改变量P2– P1或▲P 可由压力计读数▲h得出:
本等式中:
动压是滞压和静压之差。静压通常由机身侧面的静压孔测得。动压通过在一密闭容器中的膜片测得:若膜片一侧的空气压强与静压相同,另一侧与总压相同,则膜片的偏转程度与动压成正比。测得动压后便可测量飞行器表速。该膜片通常位于空速计中。空速计通过一些机械将压力表示为空速表读数。
静压孔和皮托管还可组合为皮托静压管。此装置在原有皮托管外另套有一管。外管于大气相不直接处于气流中并被用来测量静压。
文章来源:CFD在水处理领域的应用
技术邻APP
工程师必备
工程师必备
- 项目客服
- 培训客服
- 平台客服
TOP
2
1




















