康国政老师的书《非线性本构关系在ABAQUS中的实现》第7章的几处疑似印刷错误
2023年8月3日 22:29《非线性本构关系在ABAQUS中的实现》是由阚前华、康国政、徐祥三位老师著的重要的关于采用abaqus编写本构关系的著作。该书出版后获得了广大abaqus本构开发研究者的广泛好评和推荐。
图片来源(实体书拍照)
该书第一章描述了全量和增量两种形式的本构关系,本构关系的张量表示,非线性方程组的求解策略和本构关系的有限元实现过程及abaqus的用户材料子程序接口,后续几章内容分别描述了非线性弹性,弹塑性,黏塑性,超弹性,循环弹塑性和循环黏塑性,耦合损伤循环塑性,大变形弹塑性循环本构,晶体塑性循环和应变梯度塑性等内容。涉及的本构关系种类多样,推导详细,对笔者在开发弹塑性材料本构方面有十分大的启发。
本文主要针对该书第7章“循环弹塑性本构关系”中的几处疑似印刷错误进行讨论。本文作者在弹塑性本构方面尚未达到入门水平,无论是在本构关系的知识广度还是深度上,都与本书作者三位老师相距甚远,本文指出的几处疑似印刷错误仅仅从书中内容印刷出发,不涉及本构关系的具体理论纠正,指出的也仅仅是本人的个人看法,非常可能本人理解有误,欢迎三位作者和其他读者批评指正。
第一处:
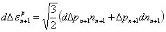
第101页式(7-26)为:
第102页式(7-27)为:
从式(7-26)推导至式(7-27),式(7-27)中的分母有误,实际上式7-27应当是:
第二处:
书中(7-29)式:
实际应为:
第三处:
书中第(7-30)式:
上式应为:
第4处:
上式应为:
第5处:
上式应为:
以上,即是《非线性本构关系在ABAQUS中的实现》第7章循环弹塑性本构关系的部分疑似印刷错误。当然,有部分疑似印刷错误依然掩盖不了本书依然是编写abaqus用户材料子程序的一本经典教程,本文作者也颇受该书启发,在此感谢阚前华、康国政、徐祥三位老师的辛勤劳动,为我们贡献了这样一本经典的中文教程。
再次重申:以上仅仅是本文作者的个人看法,非常可能存在理解错误,关于本文内容对于疑似印刷错误的看法仅仅是一家之言。如有不同意见,请自行理解,也欢迎联系本文作者讨论。
欢迎关注公众号 有限元术
工程师必备
- 项目客服
- 培训客服
- 平台客服
TOP




















