Nastran 有限元法的计算步骤
2023年8月25日 17:43浏览:2029
Nastran 有限元法的计算步骤
有限元法的计算步骤可归纳为网格划分、单元分析、整体分析。
1、网格划分
有限元法的基本做法是用有限个单元体的集合来代替原有的连续体。因此首先要对弹性体进行必要的简化,再将弹性体划分为有限个单元组成的离散体。单元之间通过节点相连接。由单元、节点、节点连线构成的集合称为网格。
通常把三维实体划分成四面体或六面体单元的实体网格,平面问题划分成三角形或四边形单元的面网格,如图1至图3所示。
图1 四面体四节点单元
图2 六面体八节点单元
图3 四边形四节点单元
2、单元分析
对于弹性力学问题,单元分析就是建立各个单元的节点位移和节点力之间的关系式。由于将单元的节点位移作为基本变量,进行单元分析时首先要为单元内部的位移确定一个
近似表达式,然后计算单元的应变、应力,再建立单元中节点力与节点位移的关系式。
以平面问题的三角形三节点单元为例,如图4所示。单元有三个节点I、J、M,每个节点有两个位移u、v和两个节点力U、V。
图4 三角形三节点单元
单元所有节点位移和节点力可以表示为节点位移向量和节点力向量(vector):
单元的节点位移和节点力之间的关系用张量(tensor)来表示:
3、整体分析
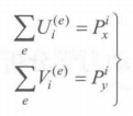
对由各个单元组成的整体进行分析,建立节点外载荷与节点位移的关系,以解出节点位移,这个过程称为整体分析。同样以弹性力学的平面问题为例,如图5所示,在边界节点i上受到集中力Pix、Piy,作用。节点i是三个单元的结合点,因此要把这三个单元在同一节点上的节点力汇集在一起建立平衡方程。
图5 整体分析
i节点的节点力:
i节点的平衡方程:
技术邻APP
工程师必备
工程师必备
- 项目客服
- 培训客服
- 平台客服
TOP
5




















