MATLAB小白入门03-02—矩阵加减运算
   2023年8月29日 10:59浏览:1953  
1
矩阵的加减运算
设m×n的矩阵A:
以及m×n的矩阵B:
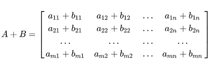
我们知道在AB两个同型(也就是mn相同)的条件下,矩阵A+B定义为矩阵的和,等于它们相同位置的元素相加:
矩阵加法有以下两条性质:
(1)交换律:A+B=B+A
(2)结合律:(A+B)+C=A+(B+C)
1
我们首先来验证矩阵加法的交换律:
2
再验证矩阵加法的结合律(要注意的是,矩阵纬度一致才能进行运算):
3
最后,我们以实例求解学习矩阵之和以及矩阵之差的计算:
如以上内容存在问题,欢迎大家批评指正~
文章来源: 第八星系人造大气理论爱好者
 
          技术邻APP
工程师必备
工程师必备
-  项目客服
 -  培训客服
 -  平台客服
 
TOP
 



















