MATLAB实战 | 平面桁架结构受力分析
2023年9月25日 11:05浏览:2654 收藏:2
平面桁架结构受力分析
应用实战
【例7-17】平面桁架结构受力分析问题。桁架是工程中常用的一种结构,各构件在同一平面内的桁架称为平面桁架。如图7-3所示的平面桁架结构由连接于A、B、C、D、E、F、G、H共8个节点的13根杆件构成。在节点B、E和F上施加指定载荷,求桁架每根杆件上的轴力。
对于静态平衡的桁架而言,它的各个节点也一定是平衡的,即在任何节点上水平方向或垂直方向受力之和都必须为零。因此,可以对每一个节点列出两个独立的平衡方程,从而可求出杆件的轴力。对于8个节点,可以列出16个方程,方程数多于待定的13个未知量。为使该桁架静定,即为使问题存在唯一解,我们假定:节点A在水平和垂直方向上刚性固定,而节点H仅在垂直方向刚性固定。
■ 图7-3平面桁架结构
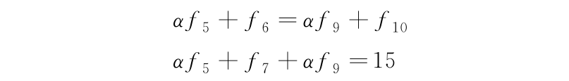
将杆件轴力分解为水平、垂直两个分量,逐一研究各节点的平衡。以节点E为例,其受力如图7-4所示。
■ 图7-4节点E受力分析
写出平衡方程有:
令,则可得到E点的平衡方程为:
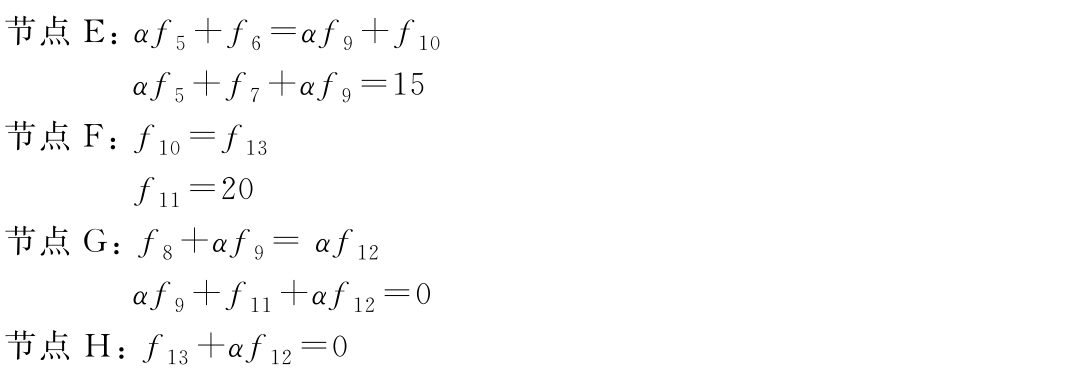
同理,可写出其他节点的平衡方程。
其中,节点H在垂直方向刚性固定,故只有水平方向的平衡方程。
这是一个包含13个未知数的线性方程组,利用MATLAB很容易求出杆件轴力向量f。
程序如下:
程序运行结果如下:
桁架杆件主要承受轴向拉力或压力,当杆件受拉时,轴力为拉力,其指向背离截面;当杆件受压时,轴力为压力,其指向截面。答案中的正数表示拉力,负数表示压力。
文章来源:书圈
技术邻APP
工程师必备
工程师必备
- 项目客服
- 培训客服
- 平台客服
TOP
5
2




















