一文搞清ABAQUS中真实应力和真实应变
2023年9月26日 13:40来源:虚拟Abaqus仿真现实世界
本文先简要说明如何计算应力和应变,再谈谈名义和真实之间的换算关系,最后以一个真实的例子作为基础,进行一次分享,有不恰当的地方请各位看官指正。
在我们常规材料力学实验时,无论是通过拉伸、扭转、压缩等获取到的材料性能往往是名义应力和应变。我们计算时使用的材料截面、长度等都没有考虑其变形带来的一系列影响,目前没有什么方法能够每时每刻记录截面如何变化,然后计算这一时刻的应力,如工程师在测试一根丝材的抗拉强度时,在设备上输入的数值是拉伸前的截面尺寸,这种测试方法对于高塑性的材料来说往往是不科学的。
一根直径为3mm的钢丝在拉伸1mm长度时不发生塑性变形,拉伸3mm时发生塑性变形。当拉伸1mm时发生弹性变形,拉伸力释放后能够恢复原来形状,表现出的是线性特征;在拉伸3mm时材料发生了塑性变形,拉伸力释放后材料没有恢复成原来的形状,表现的是非线性特征,部分位置被拉细,但有一点要注意的塑性变形的材料没有恢复到原来的形状,也没有保持在加载时的状态,在加载释放后有一定的回弹,这个回弹是真实弹性应变引起的,另外未回弹的部分是真实塑性应变引起的。
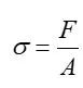
应力的计算公式为:
F为作用在截面上的力,为真实的力;
A为截面面积,在受力时可能会发生变化。
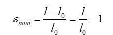
应变计算公式为:
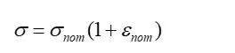
在使用ABAQUS仿真时,如果我们的材料属于塑性材料范畴,分析时涉及较大变形,在分析时必须将其应力和应变定义成真实应力和真实应变,我们就需要将实验数据中得到的名义数据转化成真实数据。
总结来说,如果不使用真实应力与真实应变,我们就不能分析出我们想要的较为准确结果,这里考虑的是材料的非线性问题。
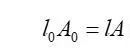
应力转化的思想:认为在变形前后材料的密度和重量不变,所以材料的体积也不变,即:
感兴趣的小伙伴可进行计算,下面直接给出转化公式:
本例以我参考某材料曲线中的数据作为依据,工程师在实际中可根据自己所选的材料测出的名义数值做转换:
在上述图中找出几个点,作为名义应力与名义应变,记录到表格,(注意图中标出的序号与下表数据无关)如下:
按照③中的三个公式,完善上表,将绿色标出的值填入ABAQUS材料特性定义中即可。塑性应变的初始值为0,因为开始发生塑性应变,此时没有积累所以量为0。
工程师必备
- 项目客服
- 培训客服
- 平台客服
TOP




















