晶体塑性每日文章推荐(十七)
文章doi:10.1016/j.actamat.2023.119103
文章通过原位EBSD实验和晶体塑性有限元方法,研究了晶界迁移对局部变形的微观影响机制,并进行了定量分析,作者的研究结果表明,晶界迁移不会改变激活的滑移系统,同时晶界迁移造成的应力下降与孔隙闭合造成应力下降的机理类似,并探讨了GND造成的硬化,晶界迁移与材料拉伸行为的关联机制。研究对于增材结构的缺陷探讨具有较强的启发意义。
作者的研究对象为316L合金,包含两个不同温度历史的样品。如下图所示
原位的EBSD拉伸实验结果示意图
作者数值研究使用的本构模型
流动方程(热激活):
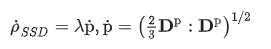
硬化模型(位错理论):
其中SSD的演化为:
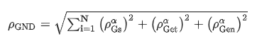
gnd的计算:
基于L2范数最小化计算得到唯一解
材料参数为:
数值模型与实验结果为:
研究得到的结论为:
(1)晶界迁移显著缓解了孔隙周围的应力集中(从1100 MPa到830 MPa),对3μm到1μm的孔隙闭合表现出等效的应力缓解效果
(2)晶粒取向效应(~50 MPa)对空隙附近应力减轻的影响明显小于晶界迁移效应(~280 MPa)
推荐该文章的两个原因是:
(一)文章的概念图非常出色,同时思考问题很有工程意义。
(二)模型的数值方法计算GND和SSD以及热激活流动非常易于数值实现,同时数值计算非常高效,并在晶体塑性研究中被广泛用于。尤其是计算GND采用奇异值分解计算效率很高,其详细计算过程可以参考文献《A crystal plasticity FE model for deformation with twin nucleation in magnesium alloys》
截取部分文献的原始说明:
使用这种奇异值分解和316L这篇文献对应的材料参数,编写对应的本构模型,并进行二维和三维的数值测试,数值模型以及计算结果如下:
二维:
使用cpe4单元,包含42488个单元,200个晶粒,一端固定,另一端施加5%的位移边界条件,数值结果为:
几何模型:
应力分布:
等效塑性应变分布:
几何必须位错密度分布:
三维:
使用c3d8单元,包含32000个单元,200个晶粒,一端固定,另一端施加5%的位移边界条件,数值结果为:
几何模型:
应力分布:
等效塑性应变分布:
几何必须位错密度分布:
工程师必备
- 项目客服
- 培训客服
- 平台客服
TOP




















